Contact Resistance in Organic Devices

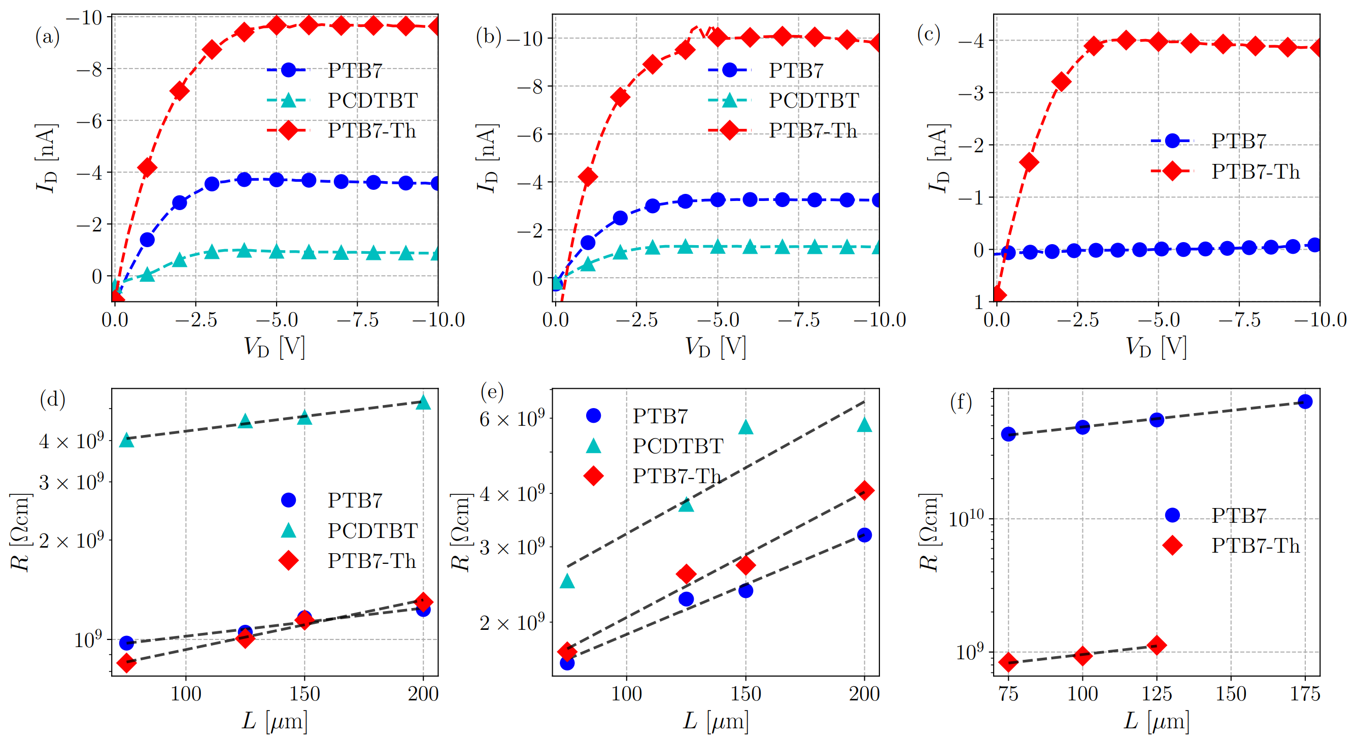
Charge injection from inorganic electrodes to organic semiconductors is crucial to the working of organic devices. However, such interfaces are resistive to charge transfer. Its been considered that the resistane arises because of an energy level mismatch between electrode and semiconductor sets up an energy barrier. Several other effects arising from interactions of inorganic and organic layers, such as pillow effects, defect generation, or interfacial induced states further append the energy barrier. However, it has been noted that the difference between energy levels of electrode and semiconductor do not directly predict device resistance. We fabricated nine sets of transistors with three different polymers (PTB7, PCDTBT, PTB7-Th) and three electrodes (Au, Ag, MoO3), and measured their contact resistance by transfer length method. Devices with PTB7-Th tended to have low contact resistance regardless of electrode, despite the orbital elvels of all three polymers being similar.

To explain the phenomenon, we carried out ab-initio simulations. We had previously shown that the combination of interface polarity and orbital interaction determines the resistance at interface. Using the projector operator diabatic (POD) framework, we calculated the energy levels (E) and charge transfer intergal (J) for each contact interface. We showed that calculating the rate of charge injection by Marcus-Hush equation, based on the parameters obtained by first principles, predicted the trends in measured contact resistance. This effectively showed how the microscopic phenomenon associated with charge transfer at interface influences device behaviour.